Um grupo internacional de pesquisadores demonstrou que é possível acionar uma transição de fase em sólidos apenas redirecionando o fluxo de elétrons, sem recorrer a calor, pressão ou alterações químicas. O resultado foi obtido em filmes ultrafinos de bismuto seleneto (Bi2Se3) e descrito na revista Advanced Science, em artigo publicado em 8 de novembro de 2025.
Quem, o que, quando, onde e como
• Quem: cientistas de universidades na Coreia do Sul e em outros países.
• O que: observaram uma fase eletrônica duradoura gerada apenas pelo fluxo de carga.
• Quando: experimentos concluídos e artigo divulgado em 08/11/2025.
• Onde: laboratórios equipados com fontes de pulsos ultracurtos de luz e sondas de radiação terahertz.
• Como: aplicando pulsos ópticos de 60 femtossegundos e monitorando a condutividade com espectroscopia terahertz.
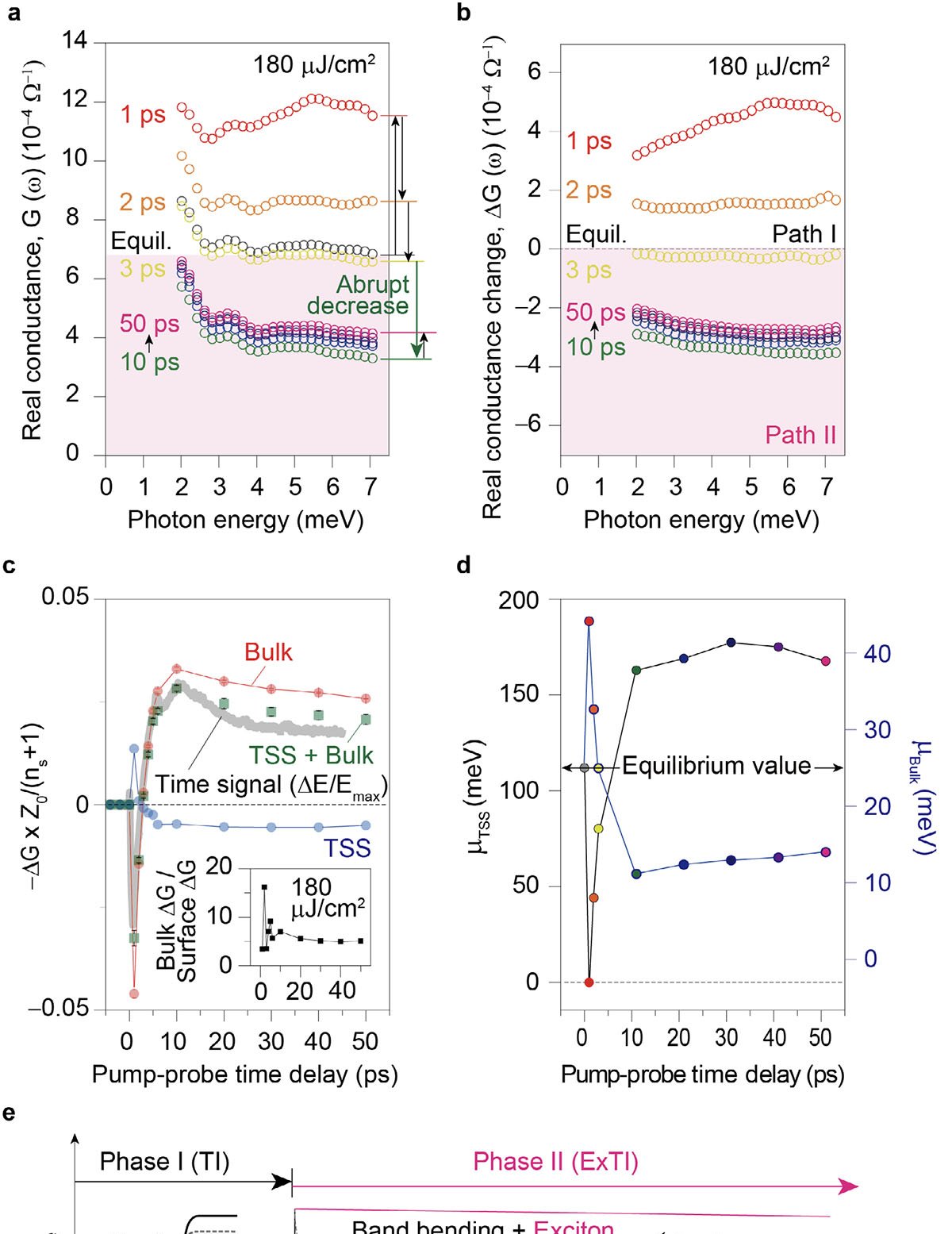
Dois canais de condução
O Bi2Se3 é um isolante topológico: conduz eletricidade na superfície, mas não no interior. Isso cria dois canais de transporte — o topological surface state (superficial) e o confined bulk state (interior) — separados, mas suficientemente próximos para trocar carga quando perturbados.
O experimento
1. Um pulso de luz de 60 fs retira os elétrons do equilíbrio.
2. Em seguida, feixes de radiação terahertz medem, em tempo real, a condutividade de cada canal.
Etapas da transição
Primeira fase (1–3 ps): a condutividade superficial cai enquanto a do interior sobe, indicando fluxo de elétrons da superfície para o interior.
Segunda fase (~10 ps): o processo se inverte; a superfície passa a conduzir mais que no estado inicial e o interior menos. Os pesquisadores atribuem essa inversão à formação de êxcitons espaciais — pares elétron-lacuna distribuídos entre os dois canais.

Imagem: Nanowerk https
Essa nova configuração persiste por mais de 600 ps, tempo muito superior ao relaxamento típico de elétrons em materiais semelhantes.
Condições necessárias
• Energia mínima do pulso: cerca de 18 µJ/cm². Abaixo desse valor, o material retorna ao equilíbrio original.
• Espessura do filme: pelo menos cinco camadas atômicas. Amostras mais finas perdem a distinção entre superfície e volume e não exibem a segunda fase.
Implicações
O estudo comprova que a simples direção do fluxo de elétrons pode estabilizar um novo estado eletrônico, sugerindo caminhos de baixo consumo energético para comutação ultrarrápida em dispositivos ópticos e eletrônicos.
Com informações de Nanowerk







